發布日期:2022-02-18 瀏覽:1703 次
高壓并聯電容器與耦合電容器和斷路器電容器不同,其電容量較大,通常采用電壓電流法進行測量。
在測試時需要考慮電壓表和電流表內阻的影響采用不同的接線方法。因為電壓表的內阻抗不會非常大,而電流表的內阻抗又不會非常小。
當C<10μF時,一般主要客服電壓表的影響,采用以下接線方式(通常高壓并聯電容器電容量C<10μF,多采用此方法接線,測試時外殼接地):

當C>10μF是,主要克服電流表的影響,采用以下方式接線:

1.在進行測試之前,需要對被試品充分放電并接地,拆除所有接線和外部的保險絲,根據被試品的電容量和測試電壓計算電流,選擇合適的電流表和電壓表檔位。
2.選擇合適的接線方法,在檢查接線和調壓器零位后,拆除接地線。
3.合上電源隔離開關,將電壓升至試驗電壓后,讀取電流并立即將調壓器降低至零位,后切斷電源,并對被試品放電接地,最后恢復被試品接線。
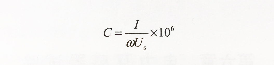
4.在進行測試試驗時,需從電容器兩電極之間施加測試電壓,讀取測試電流,被試品的電容量計算公式為:

優力克電力是電力試驗設備的生產廠家,我們的產品全程提供專業的技術服務。

本公司生產全面貫徹 ISO9001:2015 質量管理體系認證證書及文字商標和圖片商標注冊

本公司與武漢各大高校和武漢高壓研究所有著緊密合同關系,有著明細的技術優勢和穩定技術方案

公司具有專業的銷售和技術支持團隊隨時了解和客戶溝通產品的應用情況,提供一對一高效專業的服務

產品全部執行ISO9001質量管理體系,SMT自動化的生產,半成品檢測,成品檢測拷機,讓每一個產品都經過5次以上的100%測試,確保產品質量100%

公司具有精準的預期備貨和保持穩定的安全庫存,滿足客戶的緊急需求和批量性采購需求

公司產品每年抽樣送第三方檢驗(如湖北省技術監督局、武漢市計量院),符合出廠標準和第三方檢測指標要求